
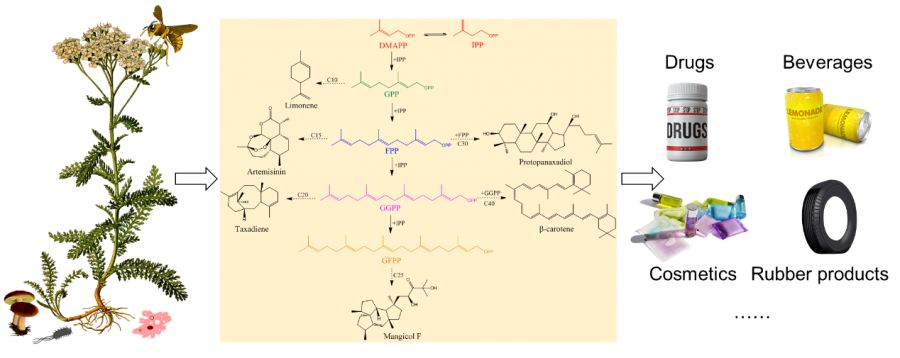
萜类化合物作为最大一类天然产物,其数量接近天然产物总数的三分之一。萜类天然产物从生源角度看,都是从最基本的两个碳五单元衍生而来,即由二甲烯丙基焦磷酸(DMAPP)和异戊二烯焦磷酸(IPP)经过一系列酶催化链延长、环化和重排等所得(图-1)。许多萜类天然产物有重要应用价值,萜类分子化学多样性伴随而来的是其生物功能上也呈现出多样性。例如,植物黄花蒿中提取的倍半萜化合物青蒿素及其衍生物具有抗疟作用,来源于红豆杉的二萜化合物紫杉醇表现出良好的抗肿瘤活性,银杏叶提取物中的一系列二萜化合物(银杏内酯)是其发挥心脑血管疾病治疗作用的主要活性成分。
![]()
图-1 萜类化合物的生物合成和应用价值
为了系统分析萜类天然产物的化学空间和生物功能分布,中山大学药学院巫瑞波教授课题组从天然产物数据库DNP(Dictionary of Natural Products)中筛选出当前已知的七万多个萜类实体化合物,开展了详尽的来源分布、物理化学性质、结构骨架特征以及潜在生物靶点分析。图-2表明在萜类天然产物中以倍半萜、二萜和三萜为主,三者数目占总萜类天然产物的84%。从来源看,86%的化合物都来自于植物,并且大部分的萜类天然产物都具有(动物、植物、细菌或微生物)种属专一性,这或许也是萜类天然产物具有化学多样性的原因之一。作者进一步计算了分子量、氢键供/受体、Alog P等11项物理化学性质,对这些性质的主成分分析表明萜类化合物与药物分子的化学空间非常相似(图-3),同时大部分的萜类天然产物都符合成药性五规则的条件,这些都证明萜类化合物具有良好的成药性。
![]()
图-2 萜类天然产物的分类(a)和来源(b)分布
![]()
图-3 萜类天然产物物理化学性质主成分分析(a)和成药性五规则(b)
![]()
图-4 (a) 萜类天然产物的高频骨架;(b) 真菌、细菌和动物中萜类的高频骨架
在分子骨架结构方面,98%的萜类天然产物都具有环状结构,其中桥环、螺环、三/四元环的比例都明显高于非萜类天然产物。在这些环状结构中,脂肪环占了很大的比例,这不同于非萜类天然产物中芳香环占主导的。此外,萜类中的sp3杂化碳原子和手性中心的比例总体上也要高于非萜类天然产物。这些数据都表明当前已报道的萜类天然产物在结构复杂度以及分子柔性方面要高于非萜类天然产物。对这些环状萜类分子结构进一步做骨架分析,作者发现脂肪六元环普遍存在,但不同萜类(单萜、倍半萜、二萜、三萜等)其骨架富集情况有显著差异(图-4 a)。比如骈合的四环和五环母核是三萜化合物特有的,已经有大量的文献报道了这一类四环/五环三萜具有广泛的生物活性。此外,三元环和桥环也在高频骨架中多次出现,但是四元环和螺环则并没有在这些骨架中分布,这说明四元环和螺环的分布相对比较分散,没有骨架富集效应。由于萜类天然产物中植物来源占主导,这种全局高频骨架分布从某种程度上来说其实是主要反映了植物萜类的情况,因此,作者又专门针对真菌、细菌和动物来源的萜类分子做了骨架分析(图-4 b)。和图-4 a中高频骨架相比,四元环和螺环结构在动物、真菌源萜类分子中成为了高频率骨架。此外,细菌中出现的含氮骨架以及动物中带有[8.4.0]桥环的内酯结构,也明显有别于图-4 a的高频骨架分布。不同物种高频骨架的差异,表明了萜类天然产物高频分子骨架具有较为显著的物种专属性。
![]()
图-5 萜类分子和蛋白作用网络图
为考查现有报道的萜类分子生物学功能分布,作者首先基于ChEMBL数据库,构建了萜类分子与蛋白相互作用网络(图-5),发现这些互作方式大多呈现一对一模式,但五环三萜具有明显的多靶标结合特征,这跟当前这类化合物有各种生物学功能见诸报道也是较为吻合的。对其中的人体蛋白基因进行功能和通路富集分析发现,萜类化合物潜在的生物功能较为广泛(图-6),特别是以蛋白-蛋白相互作用方面最为富集。同时我们发现与萜类天然产物庞大的数目相比,其中已经报道的活性化合物数量并不算多,但是对其中的活性化合物进行优势骨架分析(图-7)发现,前十个优势活性骨架中有八个是上文提到的高频骨架。萜类天然产物的化学结构多样性决定了其生物学功能的多样性,因此可以预期还有大量具有潜在生物活性的萜类天然产物,其生物学功能尚待发现、值得挖掘。
![]()
图-6 萜类分子靶点的GO富集分析
![]()
图-7 (a) 高频活性骨架;(b) 高频靶点
总之,结合对非冗余萜类天然产物的化学信息学与生物信息学分析,作者揭示了该类天然产物的生物来源多样性和分子骨架的物种专属性,理论上验证了萜类化学空间多样性及成药性。对萜类天然产物分子骨架和生物功能的关联分析表明,萜类天然产物是一个数目庞大、潜在生物功能丰富、具有强大挖掘潜力的重要药物分子筛选库。
参考文献:
Zeng, T.; Liu, Z.; Liu, H.; He, W.; Tang, X.; Xie, L.; Wu, R. Exploring Chemical and Biological Space of Terpenoids. J. Chem. Inf. Model. 2019, 59 (9), 3667–3678.